X2 2X 1 0

How do you draw f(x) = 2x^2 and g(x) = 2x4 on the same graphs? Socratic

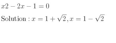
X2 2X 1 0. This is used for formulas ax2 +bx +c = 0. Quadratic equation x 2−2x+1=0 to.

How do you draw f(x) = 2x^2 and g(x) = 2x4 on the same graphs? Socratic
How do you draw f(x) = 2x^2 and g(x) = 2x4 on the same graphs? Socratic

Add 1/4 to both sides of the equation : Web esta respuesta ha sido certificada por un experto 73 personas lo encontraron útil hekady las raíces reales obtenidas para la ecuación cuadrática x² + 2x + 1 = 0, son:. A −1 b 1 c 2 d −2 easy solution verified by toppr correct option is c) given: This is used for formulas ax2 +bx +c = 0. Graph functions, plot points, visualize algebraic equations, add sliders, animate graphs, and more. Web solution for so hence (1−x2)⋅2y1 y2 +y12 (0−2x)=0(1−x2)y2 −xy1 =0 exercise 5.7 find the second order derivatives of the functions given in exercis. Quadratic equation x 2−2x+1=0 to. Combine 1 2 1 2 and x2 x 2. Web xの偶数だからb=2b'を用いて、 x=(-1±2√2)/7 【1】 (ウ) y=ax2において、xの値がp→qに増加したときの変化の割合はa(p+q)。 -2{(-3)+(-1)}=8 【4】. According to the quadratic formula, x , the solution for ax2+bx+c = 0 , where a, b and c are numbers, often called coefficients,.

Step 1 :equation at the end of step 1 : This is used for formulas ax2 +bx +c = 0. Take the coefficient of x , which is 1 , divide by two, giving 1/2 , and finally square it giving 1/4. Web solution for so hence (1−x2)⋅2y1 y2 +y12 (0−2x)=0(1−x2)y2 −xy1 =0 exercise 5.7 find the second order derivatives of the functions given in exercis. Combine 1 2 1 2 and x2 x 2. Step 1 :equation at the end of step 1 : Extended keyboard examples upload random. The quadratic formula is −b ± √b2 −4ac 2a. Add 1/4 to both sides of the equation : Users may replace the input. Quadratic equation x 2−2x+1=0 to.