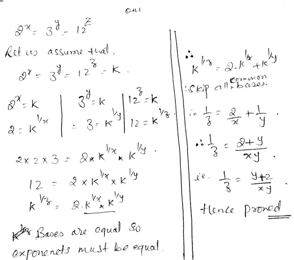
X Varies Inversely With Y

Rectangular Coordinate System & Graphs

X Varies Inversely With Y. (a) find constant of variation k. A 3 b 9 c 31 d 91 medium solution verified by toppr correct option is d) x.

Rectangular Coordinate System & Graphs
Rectangular Coordinate System & Graphs

Given that x varies inversely as y then the equation relating them is x = ← k is the constant of variation to find k use the condition. (b) write equation of variation. (c) find y when x = 9. Evaluate with y=14 and x=3 to find the constant, k. ∴ xy = k (constant). (i) if x = 20 and y = 600 ∴ xy= 20×600= 12000 ⇒ k= 12000 when x =400, then from eq (i). The square of the greater of two. Web y = k/x. The phrase “ y varies inversely as x” or “ y is inversely proportional to x” means that as x gets bigger, y gets smaller, or vice versa. The value of x for y=6 will be equal to:

One number is 7 more than another and its square is 77 more than the square of the smaller numbe what are the numbers? Web solution if x varies inversely as y. Given that y=2 for x=1. (i) if x = 20 and y = 600 ∴ xy= 20×600= 12000 ⇒ k= 12000 when x =400, then from eq (i). The value of x for y=6 will be equal to: We then are given some information and we use that to find k. (b) write equation of variation. If y varies inversely as x and x=−3 when y=3 , find y when x=18. Given that x varies inversely with y then the equation relating them is x = ← k is the constant of variation to find k use the. One number is 7 more than another and its square is 77 more than the square of the smaller numbe what are the numbers? Web if y varies inversely as x and x=−3 when y=3 , find y when x=18.