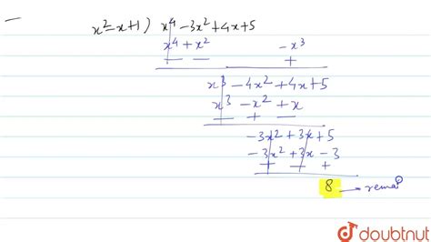
X 4 3X 2 5

The ratio between two numbers is 35 and their sum is 40. What is the

X 4 3X 2 5. Calculus basic differentiation rules chain rule 1 answer bill k. Web 交换人生主演: 雷佳音 张小斐 张宥浩.

The ratio between two numbers is 35 and their sum is 40. What is the
The ratio between two numbers is 35 and their sum is 40. What is the

Web how do you solve 14−3x = 28− 5x ? Web 101 rows formatted problem. X ≓ 3.195823431 step by step solution : If the remainder in each case is the same, find the value of a. See a solution process below: The calculator helps in finding value from multiple fractions operations. The concept under this rule is that of a function of a function, say y, = f (g(x)), where we have. Step 1 :equation at the end of step 1 : Couples race to win a new car & match cards. Web what is the derivative of (x4 + 3x2 − 2)5?

To multiply these two terms you multiply each. 类型: 未知 地区: 大陆 年份: 2023. To differentiate y = (x4 +3x2 −2)5, we use chain rule. First, add (5x) and subtract (14) from each side of the equation to isolate the x. Step 1 :equation at the end of step 1 : The calculator helps in finding value from multiple fractions operations. Web see a solution process below: See a solution process below: Web how do you solve 14−3x = 28− 5x ? To put this expression in standard form we must multiply the two terms in parenthesis. Web 101 rows formatted problem.