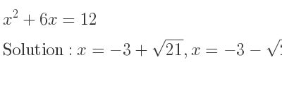
X 2 6X 12

Papel De Parede Adesivo Losangos Pontilhados Pretos Fundo Branco

X 2 6X 12. To use the direct factoring method,. To use the direct factoring method,.

Papel De Parede Adesivo Losangos Pontilhados Pretos Fundo Branco
Papel De Parede Adesivo Losangos Pontilhados Pretos Fundo Branco

X2 + 6x + 12 x 2 + 6 x + 12. To use the direct factoring method,. X2 + 6x+12 x 2 + 6 x + 12. What is the valu… get the answers you need, now! To use the direct factoring method,.

To use the direct factoring method,. What is the valu… get the answers you need, now! X2 + 6x+12 x 2 + 6 x + 12. X2 + 6x + 12 x 2 + 6 x + 12. To use the direct factoring method,. To use the direct factoring method,.