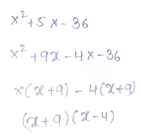
X 2 5X 36

Schneidematte grüngrasgrün (90 x 60 cm 36 x 24 inch) Nähwelt Flach

X 2 5X 36. Web to find these two numbers, we need to list all of the factors of (the previous product). You can put this solution on.

Schneidematte grüngrasgrün (90 x 60 cm 36 x 24 inch) Nähwelt Flach
Schneidematte grüngrasgrün (90 x 60 cm 36 x 24 inch) Nähwelt Flach

Find a pair of factors of 36 which differ by 5. Web 交换人生主演: 雷佳音 张小斐 张宥浩. Answer by jim_thompson5910 (35256) ( show source ): Each new topic we learn has. You can put this solution on. What is the quadratic equation? Step 1 :equation at the end of step 1 : Web x2 +5x − 36 = (x + 9)(x −4) explanation: It is a polynomial that is equal to zero. Web download x2 + x + 36 download x2 + x + 36 conclusion in this article, we discussed the equation x2 + x + 36, and how it can be used to solve various.

Web 交换人生主演: 雷佳音 张小斐 张宥浩. The pair 9,4 works in that 9 ×4 = 36 and 9 − 4 = 5 hence we find: Web click here to see all problems on expressions. Web download x2 + x + 36 download x2 + x + 36 conclusion in this article, we discussed the equation x2 + x + 36, and how it can be used to solve various. It is a polynomial that is equal to zero. Each new topic we learn has. List the negative of each. You can put this solution on. 类型: 未知 地区: 大陆 年份: 2023. What is the quadratic equation? Find a pair of factors of 36 which differ by 5.