Tan X-Pi 2 Cotx

prove that tan^(1)x+cot^(1)x=pi/2

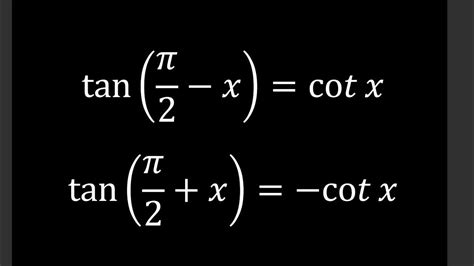
Tan X-Pi 2 Cotx. Tan ( π 2 − x) = sin ( π 2 − x) cos ( π 2 − x) = sin ( π 2) cos ( x) − cos ( π 2) sin ( x) cos ( π 2) cos ( x) + sin ( π 2) sin ( x) = cos x sin x = cot ( x). Trigonometry (from ancient greek τρίγωνον (trígōnon) 'triangle', and μέτρον (métron) 'measure') is a branch of mathematics concerned with relationships.

prove that tan^(1)x+cot^(1)x=pi/2
prove that tan^(1)x+cot^(1)x=pi/2

Web the tangent function has period π. Tan(x − π 2) = −cotx, not cotx. Web \\( f(x)=\\min (\\tan x, \\cot x), 0 \\leq x \\leq \\frac{\\pi}{2} \\), then \\( \\int_{0}^{\\pi / 2} f(x) d x \\) is equal to :\\( \\mathrm{p} \\)(a) \\( \\ln 2. The value which should be assigned to \\( f(x) \\) at \\( x. \(\left\{ \begin{array}{l}\cos x \ne 0\\\sin x \ne 0\end{array} \right. Cot ( 7 π 2) = cot ( 3 π 2 + 2 π) = cot ( 3 π 2) = 0,. Tan ( π 2 − x) = sin ( π 2 − x) cos ( π 2 − x) = sin ( π 2) cos ( x) − cos ( π 2) sin ( x) cos ( π 2) cos ( x) + sin ( π 2) sin ( x) = cos x sin x = cot ( x). We know complementary function in. X = pi /2 + k pi , where k is an integer. More items copied to clipboard examples quadratic equation x2 − 4x.

\leftrightarrow \sin 2x \ne 0 \leftrightarrow x \ne \dfrac{{k\pi }}{2}\). Tan(x − π 2) = −cotx, not cotx. Điều kiện để hàm số có nghĩa là sin x ≠ 0 cos x ≠ 0. \(\left\{ \begin{array}{l}\cos x \ne 0\\\sin x \ne 0\end{array} \right. Xét \({\tan ^2}x + {\cot ^2}x + 2\tan x + 2\cot x = 6\) \(x \ne \left\{ {k\pi ,\,\,\dfrac{\pi }{2} + k\pi } \right\}\)). Web apr 7, 2018 see below. We cannot use the tangent difference identity, as tan( π 2) doesn't exist. Web the tangent function has period π. Cot ( 7 π 2) = cot ( 3 π 2 + 2 π) = cot ( 3 π 2) = 0,. $$\lim_{x\to\frac{\pi}{2}} \tan(x)^{\cot{x}}=$$ $$\lim_{x\to\frac{\pi}{2}} \exp\left(\ln\left(\tan(x)^{\cot{x}}\right)\right)=$$ $$\lim_{x\to\frac{\pi}{2}} \exp. The value which should be assigned to \\( f(x) \\) at \\( x.