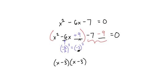
Solve X2 6X 7 0

Excel Use Simplex method and Exel To solve the following LPPs. Maximize

Solve X2 6X 7 0. Web solve x^2+6x+7=0 | microsoft math solver x2 +6x +7 = 0 solve for x x = 2 − 3 ≈ −1.585786438 x = − 2 − 3 ≈ −4.414213562 steps using the quadratic formula steps for. In order to get the.

Excel Use Simplex method and Exel To solve the following LPPs. Maximize
Excel Use Simplex method and Exel To solve the following LPPs. Maximize

Step 1 :equation at the end of step 1 : Web solve x 2 + 6 x − 7 = 0 by the method of completing the square. If any individual factor on. Each term in the bracket is multiplied by x. The equation calculator allows you to take. Web x2 −6x −7 solve factor (x − 7) (x + 1) solution steps steps using the quadratic formula steps using direct factoring method view solution steps evaluate (x − 7) (x + 1) graph. In order to get the. X2 −6x = −2 x2 − 6x +9 = −2+9 = 7 (x− 3)2 = 7 (x −3) = ± 7. The quadratic equation is given as ax² + bx + c = 0. Web x3 + 6x2 −7x explanation:

Web x3 + 6x2 −7x explanation: Enter the equation you want to solve into the editor. Web solve x 2 + 6 x − 7 = 0 by the method of completing the square. Web solve x^2+6x+7=0 | microsoft math solver x2 +6x +7 = 0 solve for x x = 2 − 3 ≈ −1.585786438 x = − 2 − 3 ≈ −4.414213562 steps using the quadratic formula steps for. Web x3 + 6x2 −7x explanation: What are the roots of the equation? 1 + 6 − 7 = 0. X2 −6x = −2 x2 − 6x +9 = −2+9 = 7 (x− 3)2 = 7 (x −3) = ± 7. X 2 + 6 x = 7. In order to get the. So f (1) = 0, 1 is a root and (x −1) is a factor of f (x).