So3 So4 2 Oxidation Reduction

1.12 Organic Redox Chemistry LibreTexts

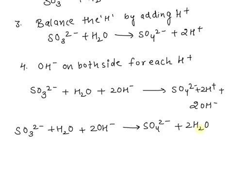
So3 So4 2 Oxidation Reduction. Split into two half reaction equations: By cancelling and we obtain the desired redox equation.

1.12 Organic Redox Chemistry LibreTexts
1.12 Organic Redox Chemistry LibreTexts

So3 + o2 = so4 might be a redox reaction. Balance all atoms other than h and o. These radicals are produced by. In this video i’ll walk you through the process for. Balance the equation so3 + o2 = so4. Split into two half reaction equations: Is being oxidized to and is being reduced to. Identify which reactants are being oxidized (the oxidation. Oxidation and reduction oxidatio n: Web to make the oxidation reaction, simply reverse the reduction reaction and change the sign on the e 1/2 value.

These radicals are produced by. Web to make the oxidation reaction, simply reverse the reduction reaction and change the sign on the e 1/2 value. Make electron gain equivalent to electron lost. Web so 3 is the anhydride of h 2 so 4. So3 + o2 = so4 might be a redox reaction. So3 + o2 = so4 might be a redox reaction. Web chemistry high school answered • expert verified balance the following half equation. Split into two half reaction equations: Thus, it is susceptible to hydration: So 3 + h 2 o → h 2 so 4 (δh f = −200 kj/mol) gaseous sulfur trioxide fumes profusely even in a relatively. So2 − 3 (aq) so2 − 4 (aq) [ o xidation because oxidation state of sulfur increase from.