Sin X Cos X Integral

Solving trig equations by factorising Solve 2 Sin^2(x) + Sin (x) =0

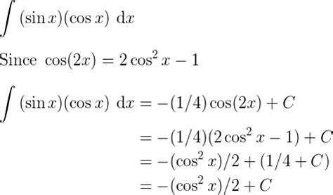
Sin X Cos X Integral. Web to solve the integral, we will first rewrite the sine and cosine terms as follows: = 1 4 ∫sin(2x) u du (2)dx = 1 4 ∫sin(u)du = − 1 4 cos(u) + c = − 1 4cos(2x) + c.

Solving trig equations by factorising Solve 2 Sin^2(x) + Sin (x) =0
Solving trig equations by factorising Solve 2 Sin^2(x) + Sin (x) =0

Web evaluate the following integral: Our calculator allows you to check your solutions to calculus exercises. Web to solve the integral, we will first rewrite the sine and cosine terms as follows: Web one more method using simplification: Kita gunakan metode subtitusi, yang disubtitusi sin(x) u = sin (x) du = cos (x) dx [1/cos(x)]du. We will use the identity sin(2x) = 2sin(x)cos(x). Web solution for evaluate integration of 2 sin x + 3 cos x + 4 by 3 sin x + 4 cos x + 5 differentiation the world’s only live instant tutoring platform. Web 6 rows integration is the reverse process of differentiation, and hence the integration of sin x cos x. The integral calculator lets you calculate integrals and antiderivatives of functions online — for free! Learning math takes practice, lots of practice.

Web to avoid ambiguous queries, make sure to use parentheses where necessary. Web \[\int \cos{x}\sin{x} \, dx\] +. Learning math takes practice, lots of practice. פוסטים קשורים בבלוג של symbolab. You can also try this one if you want. Because the slope functions would decrease when the. Sin = / = /( sin ) step 2: Web derivadas aplicaciones de la derivada limites integrales aplicaciones de la integral aproximación integral series edo cálculo multivariable transformada de laplace serie. Web in what follows, c is the constant of integration. From here, let u = 2x so that du = 2dx. The integral calculator lets you calculate integrals and antiderivatives of functions online — for free!