Sin 2 X Cos X

Differentiate sin2x from first principles YouTube

Sin 2 X Cos X. As per guideline we can solve 3 subparts only. Web solution for =(cosx)sinx+sinx(cosx)=2sinxcosx=sin2x fxercise 13.2 find the derivative of x2−2 at x=10.

Differentiate sin2x from first principles YouTube
Differentiate sin2x from first principles YouTube

Find the derivative of x at x=1. Step 2 expand using the foilmethod. ∙ xsin2x + cos2x = 1. Find the area of the region bounded by the graphs of f (x) = x³ and g (x) =. As per guideline we can solve 3 subparts only. [(cos^2x, sin^2 x),(sin^2 x ,cos^2 x)]+[(sin^2 x, cos^2 x), (cos^2 x, sin^2 x)] cbse science (english medium) class 12. Web algebra simplify (sin(x)+cos(x))^2 step 1 rewrite as. Extended keyboard examples upload random. Web an alternative that doesn't use product rule and instead relies upon the chain rule comes from rewriting the original function prior to differentiating: Web solution for =(cosx)sinx+sinx(cosx)=2sinxcosx=sin2x fxercise 13.2 find the derivative of x2−2 at x=10.

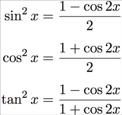
Now π < f 1, f 2 > = ∫ 0 π cos x sin 2 x d x. Now π < f 1, f 2 > = ∫ 0 π cos x sin 2 x d x. Expand each factor using foil. Cos(2x) = cos(x+x) = cosxcosx −sinxsinx = cos2x −sin2x = cos2x −(1−cos2x) = 2cos2 x−1 so, cos2x = 21+cos(2x) which can be substituted. As per guideline we can solve 3 subparts only. Web solution for =(cosx)sinx+sinx(cosx)=2sinxcosx=sin2x fxercise 13.2 find the derivative of x2−2 at x=10. Step 2 expand using the foilmethod. For which a ∈ r are. Compute answers using wolfram's breakthrough technology & knowledgebase, relied on. Web sin2x formula is the double angle formula of sine function and sin 2x = 2 sin x cos x. 1) here the functions are f 1 ( x) = cos x, f 2 ( x) = sin 2 x.