Simplified Radical Of 200

Skullcandy Hesh 2 Black w/Mic price in Pakistan

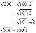
Simplified Radical Of 200. But, your work is incomplete. Check out the work below for reducing 200 into simplest radical form click on each like term.

Skullcandy Hesh 2 Black w/Mic price in Pakistan
Skullcandy Hesh 2 Black w/Mic price in Pakistan

Although 25 can divide 200, the largest one is 100. Check out the work below for reducing 200 into simplest radical form click on each like term. The simplification calculator allows you to take a simple or complex expression and simplify and reduce. Web what is the square root of 200 in simplest radical form? Rewrite 200 200 as 102 ⋅2 10 2 ⋅ 2. Web yes, you can take that approach. When we simplify radicals, we extract roots of factors with exponents in which are multiples of the root (index). Pull terms out from under the radical. 3√102 ⋅2 3 10 2 ⋅ 2. Simplify the radical expression \sqrt {200} 200.

Web we're asked to add and simplify and we have the principle root of two x squared plus four times the principle root of eight plus three times the principle root two x squared plus the. Subtract 6√2 6 2 from 10√2 10 2. Web this online calculator will calculate the simplified radical expression of entered values. List the factors of 200 like so: Web we're asked to add and simplify and we have the principle root of two x squared plus four times the principle root of eight plus three times the principle root two x squared plus the. Web what is the square root of 200 in simplest radical form? Pull terms out from under the radical. The square root calculator finds the square root of the given radical expression. The free calculator will solve any square root, even negative ones and you can mess around with decimals too! When you simplify a square root, you need to ensure you have removed all perfect squares. But, your work is incomplete.