S Vt 1 2At 2

Solved Which of the following quantities have the dimensions

S Vt 1 2At 2. Vt+ at2 2 = d v t + a t 2 2 = d subtract at2 2 a t 2 2 from both sides of the equation. Web when you imagine v (t) graph, distans is representing as an area under the curve.

Solved Which of the following quantities have the dimensions
Solved Which of the following quantities have the dimensions

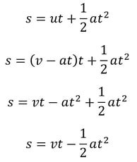
It is not possible to write v = d/t but v=dx/dt and a = dv/dt. Solving for the different variables we can use the following formulas: X (t) =∫v (t)dt = 1/2 at^2 + vt + x (0), x (0) is the initial position assumed nill then x (0) =0. Web multiply 1 2(at2) 1 2 ( a t 2). Then v (t) =∫a (t)dt =at + v , v is the initial velocity and the acceleration a is constant. Vt+ at2 2 = d v t + a t 2 2 = d subtract at2 2 a t 2 2 from both sides of the equation. As to its why, the short answer is that it’s the second integral of acceleration with respect to time. Your equation in the question itself is incorrect 4 sponsored by forge of empires can you solve this equation in under 20 seconds? Web putting v of the first into the second gives s = ut + 1/2 at² two other substitutions lead to the other suvat equations: Finally the distance d is x (t) =d= vt + 1/2 a t^2.

We assume that positive number represent a velocity going up vertically and a negative number indicates a downwards velocity vertically speaking. Web s = v i t + 1 2 a t 2 where: Web [math]s(t) = 1/2at^2 + vt[/math] is an equation that states that if an object has a constant acceleration, the distance it travels away from where it began will equal half the acceleration times time squared plus the initial velocity times time. Vt+ at2 2 = d v t + a t 2 2 = d subtract d d from both sides of the equation. It is not possible to write v = d/t but v=dx/dt and a = dv/dt. Solving for the different variables we can use the following formulas: Then area under the curve it triangle. V (t) is horizontal line and s=v*t (see picture below) in uniformly accelerated linear motion v (t)=a*t, so each point have coordinates (t, a*t). Finally the distance d is x (t) =d= vt + 1/2 a t^2. X (t) =∫v (t)dt = 1/2 at^2 + vt + x (0), x (0) is the initial position assumed nill then x (0) =0. Web putting v of the first into the second gives s = ut + 1/2 at² two other substitutions lead to the other suvat equations: