Resonance Structures Of No3

Resonance Theory Chemistry LibreTexts

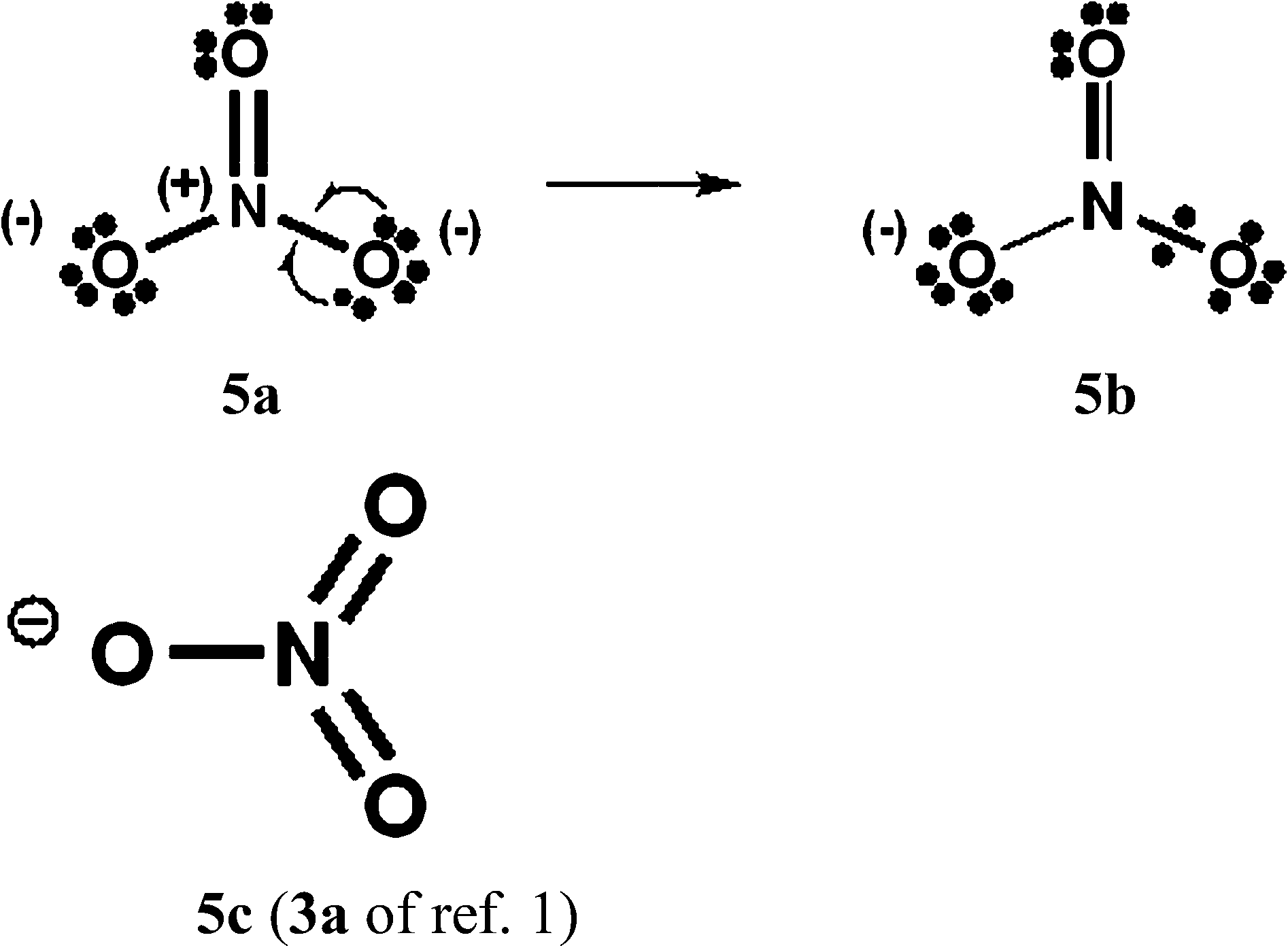
Resonance Structures Of No3. Web write the resonance structure that would result from moving the electrons as the curved arrows indicate. All the resonance structures are correct since it all follows the octet rule and all have a total number of 24.

Resonance Theory Chemistry LibreTexts
Resonance Theory Chemistry LibreTexts

In many cases, a single lewis structure. The nitrogen has a positive charge. The phrase “resonance structure” refers to a collection of two or more lewis structures that. It does mean it will not contribute much to the overall structure of the molecule, but that. Each of the three resonance structures of. Web certain types of resonance structures are more advantageous than others. Be sure to include formal charges if needed. Web it is kind of clear from the several drawings of molecular structures where there are several equivalent configurations where the electrons may be found, and where the pi bounds. Web resonance is a way of describing delocalized electrons within certain molecules or polyatomic ions where the bonding cannot be expressed by a single lewis. Web it is still a valid resonance structure, octets do not have to be complete for it to be valid.

Web therefore, the resonance structure would look like this: Web resonance structures are sets of lewis structures that describe the delocalization of electrons in a polyatomic ion or a molecule. You'll get a detailed solution from a subject matter expert that helps you learn core concepts. The nitrogen has a positive charge. Web the lewis representation of no3 is aligned in a way where the nitrogen atom is in the center and orbited by three oxygen atoms. Web resonance structures for no3 nitrate ion youtube. Web this problem has been solved! Web it is kind of clear from the several drawings of molecular structures where there are several equivalent configurations where the electrons may be found, and where the pi bounds. 625k subscribers subscribe 626k views 9 years ago a step by step explanation of how to draw the no3. Web resonance is a way of describing delocalized electrons within certain molecules or polyatomic ions where the bonding cannot be expressed by a single lewis. The phrase “resonance structure” refers to a collection of two or more lewis structures that.