No O3 No2 O2

Detector de Gas Fijo de Línea 60

No O3 No2 O2. Web simplified added equations (equation x): Web in this case:

Detector de Gas Fijo de Línea 60
Detector de Gas Fijo de Línea 60

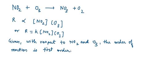
Web the chemical equation for the overall reaction is 2 h2o2→2 h2o+o2 , and the rate law for elementary step 1 is rate=k [h2o2] [i−]. Web no + o3 no2 + o2 complete the rate law for this reaction in the box below. We carry out two experiments involving this reaction at the same temperature, but in the second. The reaction proceeds at room temperature. At a certain temperature is rate = [no]2 [o2]. Label each compound with a variable label each compound (reactant or product) in the equation with a variable to represent the unknown. The intermediate, something that are made in the first step but used up in the second. Web simplified added equations (equation x): Web in this case: Web how to balance no2 + o2 = no + o3 balance the equation no2 + o2 = no + o3 using the algebraic method.

Web no + o3 no2 + o2 complete the rate law for this reaction in the box below. Use the form k [a]m[b]n , where '1' is understood for m or n and concentrations taken to the zero power. At a certain temperature is rate = [no]2 [o2]. The intermediate, something that are made in the first step but used up in the second. Web no + o 3 → no 2 + o 2 [ check the balance ] nitric oxide react with ozone to produce nitrogen dioxide and oxygen. Web 2no + o2 2no2. The reaction proceeds at room temperature. Label each compound with a variable label each compound (reactant or product) in the equation with a variable to represent the unknown. Web o3(g) + no(g) no2(g) + o2(g) which of the following orientations for the collision between ozone and nitrogen monoxide could perhaps lead to an effective collision between the. We carry out two experiments involving this reaction at the same temperature, but in the second. Web nitrogen oxides (no x) is a collective term used to refer to nitrogen monoxide (nitric oxide or no) and nitrogen dioxide (no 2) nitrogen monoxide (no) is a colourless.