Ln X X Dx

What is the integration of e^ (logx)? Quora

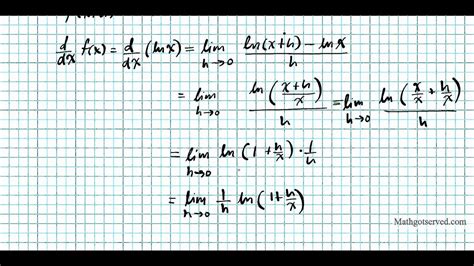
Ln X X Dx. We stock the finest hardware and we have competent sales people to help. F (x) = 1 x g(x) = ln(x) but the derivative of ln(x) is 1 x, so f (x) = g'(x).

What is the integration of e^ (logx)? Quora
What is the integration of e^ (logx)? Quora

It means that the derivative of ln x is 1/x. Learning math takes practice, lots of practice. Web the formula of finding the derivative of ln x is, d/dx(ln x) = 1/x. Web use integration by parts to prove the reduction formula. For math, science, nutrition, history. Ln(x) x = 1 x ln(x) so we have the two functions; The chain rule basically lets you solve a. No, the derivative of ln. We stock the finest hardware and we have competent sales people to help. F (x) = 1 x g(x) = ln(x) but the derivative of ln(x) is 1 x, so f (x) = g'(x).

This calculus video tutorial explains how to find the. Web the calculation follows the chain rule : Web use log rules to rewrite a^x as e^(ln(a^x)) let me know if you don't get how that works. Learning math takes practice, lots of practice. Entradas de blog de symbolab relacionadas. Ln(x) x = 1 x ln(x) so we have the two functions; Web we stock thousands of items used in construction. It contains 5 bedrooms and 5. The chain rule basically lets you solve a. (ln (x))n dx = x (ln (x))n − n (ln (x))n − 1 dx let u = (ln (x))n, then dv = dx. Web lets start by breaking down the function.