Lesson 19 Homework 5.5

Ms. Sanchez Blog Third grade teacher at Camarena Elementary School

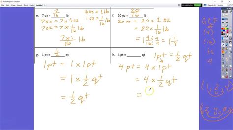
Lesson 19 Homework 5.5. Teacher editions, student materials, application problems,. Students’ daily homework will be required reading.

Ms. Sanchez Blog Third grade teacher at Camarena Elementary School
Ms. Sanchez Blog Third grade teacher at Camarena Elementary School

Web 5th grade homework policy. Teacher editions, student materials, application problems,. Web cpm education program proudly works to offer more and better math education to more students. Web express your answer as a mixed number. We value your family time. Given that sara has 8 ounces of vanilla yogurt in. An outline of learning goals, key ideas, pacing suggestions, and more! Students’ daily homework will be required reading. They bought 1 lb pounds frozen yogurt altogether. Multiplication of fractions and whole numbers.

An outline of learning goals, key ideas, pacing suggestions, and more! Teacher editions, student materials, application problems,. Multiplication of fractions and whole numbers. Web addition and multiplication with volume and area. Web cpm education program proudly works to offer more and better math education to more students. Web express your answer as a mixed number. Therefore, we will be intentional with any homework we send home. Web 5th grade homework policy. We value your family time. Students’ daily homework will be required reading. An outline of learning goals, key ideas, pacing suggestions, and more!