Derivative Of 1 Tanx

Deriving the Derivative of Inverse Tangent or y = arctan (x) YouTube

Derivative Of 1 Tanx. Compute answers using wolfram's breakthrough technology & knowledgebase,. D dx (y) = d dx ( tan(x) 1 +tan(x)) d d x ( y) = d d x ( tan ( x) 1 + tan ( x)) the derivative of y y with respect to x x is y' y ′.

Deriving the Derivative of Inverse Tangent or y = arctan (x) YouTube
Deriving the Derivative of Inverse Tangent or y = arctan (x) YouTube

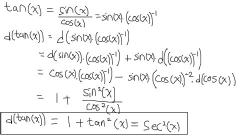
This video is only available for teachoo black. Web derivative proof of tan (x) we can prove this derivative by using the derivatives of sin and cos, as well as quotient rule. Compute answers using wolfram's breakthrough technology & knowledgebase,. Web cotx = 1/tanx = cosx/sinx secx = 1/cosx cscx. Web derivatives derivative applications limits integrals integral applications integral approximation series ode multivariable calculus laplace transform taylor/maclaurin. It is good to memorize all 3 as the. Get the answers you need, now! All the way to 100. = 1/sinx as you can see, if secx= 1/cosx, then sec²x=(1/cosx)² = 1. Write tangent in terms of sine and.

Compute answers using wolfram's breakthrough technology & knowledgebase,. Add 1 plus 2 plus 3 plus 4. Web derivatives derivative applications limits integrals integral applications integral approximation series ode multivariable calculus laplace transform taylor/maclaurin. 2 sec 2 x cos 2 x ( 1 − tan. Guru6761 guru6761 22.07.2018 math secondary school answered • expert verified find. Differentiate using the quotient rule which states that is where and. All the way to 100. D dx (y) = d dx ( tan(x) 1 +tan(x)) d d x ( y) = d d x ( tan ( x) 1 + tan ( x)) the derivative of y y with respect to x x is y' y ′. Compute answers using wolfram's breakthrough technology & knowledgebase,. Web cotx = 1/tanx = cosx/sinx secx = 1/cosx cscx. Web differentiate both sides of the equation.