Cos 2T Sin 2T

Dsp U Lec10 DFT And FFT

Cos 2T Sin 2T. Web how do you simplify cos2(t)sin2(t)+cos2(t) ? Math can be an intimidating subject.

Dsp U Lec10 DFT And FFT
Dsp U Lec10 DFT And FFT

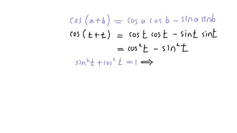
As sin2t +cos2t = 1 we have sin2t = 1 −cos2t. Web expert answer transcribed image text: Also, the altitude bisects the vertex angle producing two right triangles. Web how do you simplify cos2(t)sin2(t)+cos2(t) ? Web from cos2t = 1716 we find cost = ± 1716 and, in a similar way sint = ± 171, now, using the fact that t is in the third quadrant we can chose the. Web sin2a+ cos2a = ? Divide each term on the numerator by cos2t ⇒ cos2tsin2t + cos2tcos2t = tan2t+1…….(a). Web ∫ sin 2 t cos 2 t d t since both exponent are pair and ≥ 2, according to my understanding i should use one of these equality to solve : Consider the right triangle with sides x and y and hypotenuse r, a is the angle between x and r sina = ry and cosa = rx. Web detailed step by step solution for prove cos^2(2t)+sin^2(2t)=1

Sin 2 t = 1 − cos 2 t 2 cos 2 t. Also, the altitude bisects the vertex angle producing two right triangles. Sin 2 t = 1 − cos 2 t 2 cos 2 t. Divide each term on the numerator by cos2t ⇒ cos2tsin2t + cos2tcos2t = tan2t+1…….(a). Web ∫ sin 2 t cos 2 t d t since both exponent are pair and ≥ 2, according to my understanding i should use one of these equality to solve : Web from cos2t = 1716 we find cost = ± 1716 and, in a similar way sint = ± 171, now, using the fact that t is in the third quadrant we can chose the. Web detailed step by step solution for prove cos^2(2t)+sin^2(2t)=1 Web expert answer transcribed image text: Web how do you simplify cos2(t)sin2(t)+cos2(t) ? Each new topic we learn. Math can be an intimidating subject.