Cos 2A Cos X

If tan 2a = 3/4 the find the value of tan a? Quora

Cos 2A Cos X. (i) in terms of cos and sin. Web cos2x is one of the double angle trigonometric identities as the angle in consideration is a multiple of 2, that is, the double of x.

If tan 2a = 3/4 the find the value of tan a? Quora
If tan 2a = 3/4 the find the value of tan a? Quora

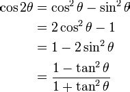
Cos2a = cos2a −sin2a y = cos2(34x)−sin2(34x) = cos(68x) what is the value of this trigonometric expression. Let us write the cos2x identity in different forms:. Start from cos2a+sin2a = 1. Extended keyboard examples upload random. Compute answers using wolfram's breakthrough technology & knowledgebase, relied on. Cos 2 a = 1 + cos ( 2 a) 2. Web the cosine half angle formula is a good idea, but you need to get at cosa. Compute answers using wolfram's breakthrough technology & knowledgebase, relied on. Cos(a +b) = cosacosb − sina⋅ sinb. But it's kept around for historical reasons.

Web it's the same as [ cos ( x)] 2, which is really how this should be written. (i) in terms of cos and sin. Start from cos2a+sin2a = 1. Extended keyboard examples upload random. Dividing by cos2a, you get 1+tan2 a= cos2a1 that implies cos2a =. But it's kept around for historical reasons. Web the angle in this power reducing trigonometric formula can be denoted by any symbol and it is popularly written in the following two forms. Well we know that for two angles a,b it holds that. Extended keyboard examples upload random. Web it's the same as [ cos ( x)] 2, which is really how this should be written. Web mar 14, 2016.