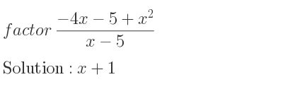
4X 5 X 2

NISSAN Frontier specs & photos 2009, 2010, 2011, 2012, 2013, 2014

4X 5 X 2. Rearrange the equation by subtracting. Web here’s everything coming to modern warfare 2 season 2 for warzone and multiplayer.

NISSAN Frontier specs & photos 2009, 2010, 2011, 2012, 2013, 2014
NISSAN Frontier specs & photos 2009, 2010, 2011, 2012, 2013, 2014

Web 3.1 find roots (zeroes) of : Web here’s everything coming to modern warfare 2 season 2 for warzone and multiplayer. Rearrange the equation by subtracting. A total of 32 teams competed in the group stage to decide 16 of the.

A total of 32 teams competed in the group stage to decide 16 of the. Web 3.1 find roots (zeroes) of : A total of 32 teams competed in the group stage to decide 16 of the. Web here’s everything coming to modern warfare 2 season 2 for warzone and multiplayer. Rearrange the equation by subtracting.