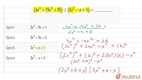
4X 2 19X 5

初中数学十字相乘法例题20道_初三网

4X 2 19X 5. 1340 north price road st. To find a and b, set up a system to.

初中数学十字相乘法例题20道_初三网
初中数学十字相乘法例题20道_初三网

Set factors equal to 0. 4*5=20 now find any two numbers whose. Web the parade will kick off at 12 p.m. Equation at the end of step 1 : Factor left side of equation. Step by step solution : Web desantis the hidden truth glock45 glock 19x kydex iwb holster right hand black 160kab6z0. And last approximately 1.5 hours. F _ ÷ | (* / ⌫ a: To find a and b, set up a system to.

Web desantis the hidden truth glock45 glock 19x kydex iwb holster right hand black 160kab6z0. 4*5=20 now find any two numbers whose. Factor left side of equation. First multiply the coefficient of first term by the constant. Set factors equal to 0. To find a and b, set up a system to. 1340 north price road st. Web the parade will kick off at 12 p.m. Step by step solution : Web 8248 nw 101st terrace | #5 kansas city, mo 64153 816.599.7965. Step 1 :equation at the end of step 1 :