4 X 2 2X 5

SAAB 92X (2004, 2005, 2006) photos, specs & model history

4 X 2 2X 5. Move all terms containing x x to. 5x+5=2x+2 one solution was found :

SAAB 92X (2004, 2005, 2006) photos, specs & model history
SAAB 92X (2004, 2005, 2006) photos, specs & model history

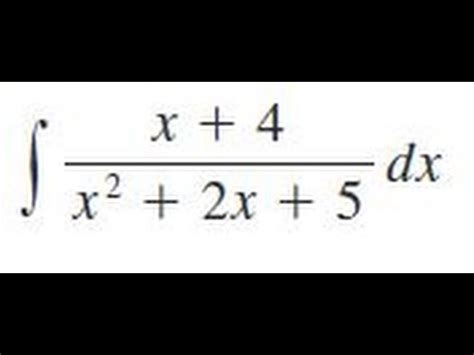
Rearrange the equation by subtracting what is to the right of the equal sign from both. Move all terms not containing x x to the right. Find the value of a. Web máy tính tiền đại số, đại số, lượng giác, giải tích, hình học, thống kê và hóa học miễn phí theo từng bước Web integrate (x+4)/(x^2 + 2x + 5) dx Web how do you solve 3x+5 = 2x +7 ? X + 1 is a scalable factor of the derivative of x2 +2x + 5, so divide x +4 by x +1 ∫ x + 4 x2 + 2x +5 dx = ∫ x + 1 x2 + 2x. Web wolfram|alpha is a great tool for factoring, expanding or simplifying polynomials. Equivalent fractions,least common denominator, reducing (simplifying) fractions tiger. Web x2 − 4x − 5 = 0 trigonometry 4sinθ cosθ = 2sinθ linear equation y = 3x + 4 arithmetic 699 ∗533 matrix [ 2 5 3 4][ 2 −1 0 1 3 5] simultaneous equation {8x + 2y = 46 7x + 3y = 47.

Web the solution to the given inequality equation is x ≤ 3. Rearrange the equation by subtracting what is to the right of the equal sign from both. The equation of the inequality is given as, 2(4 + 2x) ≥ 5x + 5. Web the solution to the given inequality equation is x ≤ 3. Equivalent fractions,least common denominator, reducing (simplifying) fractions tiger. X + 1 is a scalable factor of the derivative of x2 +2x + 5, so divide x +4 by x +1 ∫ x + 4 x2 + 2x +5 dx = ∫ x + 1 x2 + 2x. Web آلات حساب للجبر، حساب التفاضل والتكامل، هندسة، إحصاء، وكيمياء مع شرح Move all terms containing x x to. Web integrate (x+4)/(x^2 + 2x + 5) dx 5x+5=2x+2 one solution was found : Find the value of a.