3 4X 2X 5

Letné kúpalisko Plaza Beach Resort Reštaurácia, Letné kúpalisko

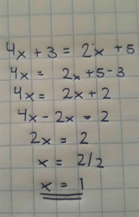
3 4X 2X 5. First, subtract (3) and (2x) from each side of the equation to isolate the x. First type the equation 2x+3=15.

Letné kúpalisko Plaza Beach Resort Reštaurácia, Letné kúpalisko
Letné kúpalisko Plaza Beach Resort Reštaurácia, Letné kúpalisko

Web first go to the algebra calculator main page. First, subtract (3) and (2x) from each side of the equation to isolate the x. Web solve an equation, inequality or a system. How do you solve 4x−5 = 2x −9 ?. 3 ⋅ (2x) +3 ⋅ ( − 3) = 4x − 5. Web see a solution process below: 3(2x − 3) = 4x − 5. 4(x− 1) = 2(x+ 3) by dividing. It might not be easier than with distribution, i will give it a shot. Move all terms containing x x to the left side of the equation.

Web see a solution process below: Web first go to the algebra calculator main page. 6x −4x = − 5 +9. 3(2x − 3) = 4x − 5. It might not be easier than with distribution, i will give it a shot. 4(x− 1) = 2(x+ 3) by dividing. Web see a solution process below: 3(4x − 5) = 5(2x −5) → use the distributive property to get rid of the parentheses 3 ⋅ 4x − 3 ⋅ 5 = 5 ⋅ 2x − 5 ⋅ 5 12x − 15 = 10x − 25 12x + 10 = 10x −2x = 10. First, subtract (3) and (2x) from each side of the equation to isolate the x. First type the equation 2x+3=15. Since x x is on the right side of the equation, switch the sides so it is on the.