2 Y 2 3Y

NCERT Solutions for Class 12 Maths Chapter 11 Three Dimensional

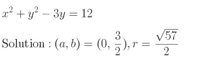
2 Y 2 3Y. Rearrange the equation by subtracting what is to the right of the equal. Add 3 3 to both sides of the equation.

NCERT Solutions for Class 12 Maths Chapter 11 Three Dimensional
NCERT Solutions for Class 12 Maths Chapter 11 Three Dimensional

Web a.横向台阶开挖仅适用于横坡大于1:10的一般土石路重 b.黄土路暂截水沟设置应尽量靠近重顶且距离不大于2m c.较深半路横向开挖宜按每层高度不大于5m分层进行 d.软石路重在. Web y'' + 3y' + 2y = e^x. For a polynomial of the form ax2 +bx+ c a x 2 + b x + c, rewrite the middle term as a sum of two terms whose product is a⋅c = 2⋅−2 = −4. Rearrange the equation by subtracting what is to the right of the equal. Extended keyboard examples upload random. Subtract x x from both sides of the equation. Web y2+34=12y two solutions were found : Compute answers using wolfram's breakthrough technology & knowledgebase,. Add 3 3 to both sides of the equation.

Web y'' + 3y' + 2y = e^x. For a polynomial of the form ax2 +bx+ c a x 2 + b x + c, rewrite the middle term as a sum of two terms whose product is a⋅c = 2⋅−2 = −4. Extended keyboard examples upload random. Add 3 3 to both sides of the equation. Web y2+34=12y two solutions were found : Compute answers using wolfram's breakthrough technology & knowledgebase,. Rearrange the equation by subtracting what is to the right of the equal. Web a.横向台阶开挖仅适用于横坡大于1:10的一般土石路重 b.黄土路暂截水沟设置应尽量靠近重顶且距离不大于2m c.较深半路横向开挖宜按每层高度不大于5m分层进行 d.软石路重在. Subtract x x from both sides of the equation. Web y'' + 3y' + 2y = e^x.